The CALERIE Genomic Data Resource (R01AG061378).
Studies Published with the Data:
Ryan CP, Corcoran DL, Banskota N, Indik CE, Floratos A, Friedman RA, Kobor MS, Kraus VB, Kraus W, MacIsaac J, Orenduff M, Pieper CF, White J, Ferrucci L, Horvath S, Huffman KM, & Belsky DW*. The CALERIE Genomic Data Resource. Nature Aging, Published online Dec 13, 2024
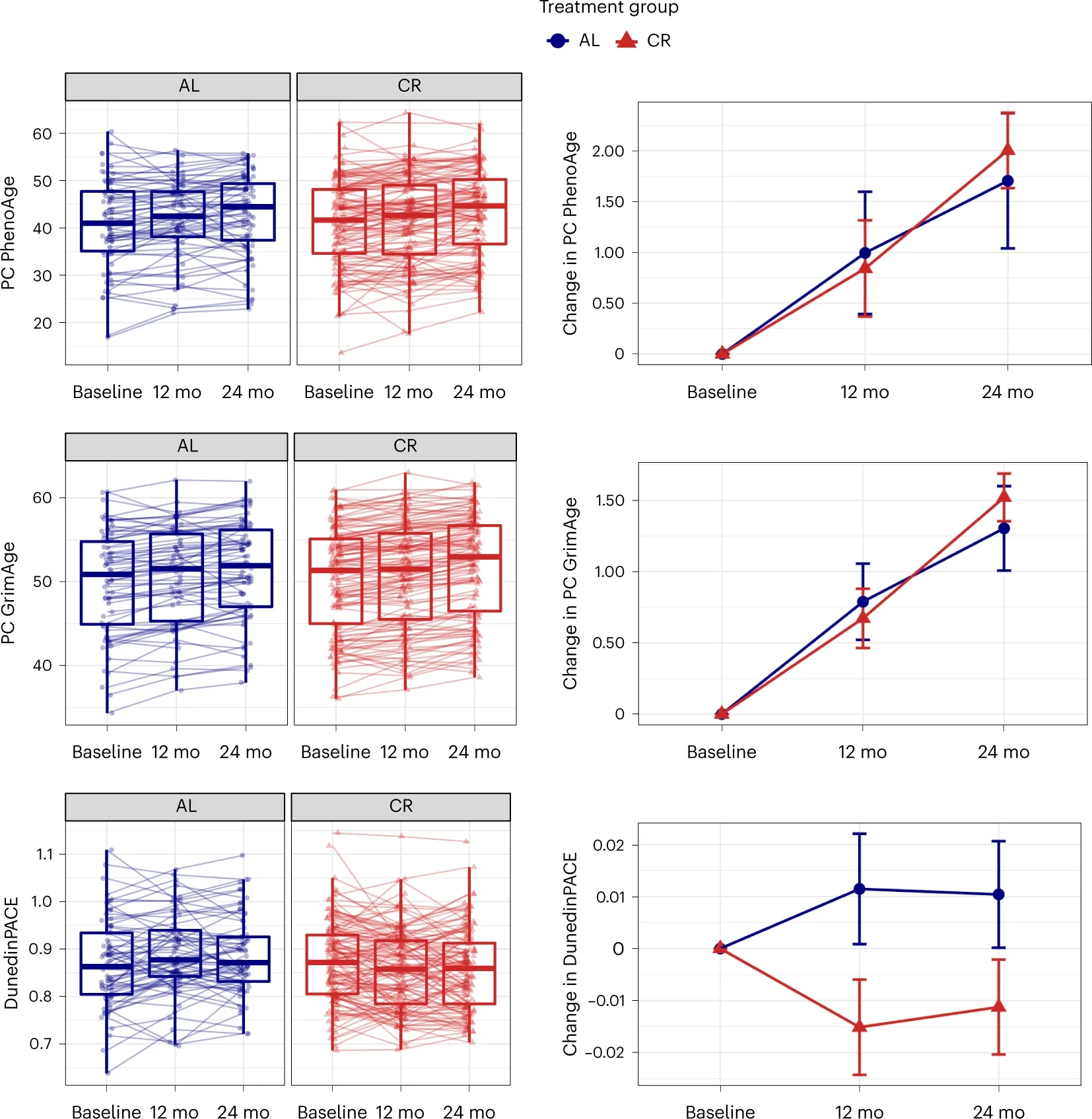
Waziry & Ryan et al. Effect of long-term caloric restriction on DNA methylation measures of biological aging in healthy adults from the CALERIE trial. Nat Aging 3, 248–257 (2023) doi:10.1038/s43587-022-00357-y
Das, J. K. et al. Calorie restriction modulates the transcription of genes related to stress response and longevity in human muscle: The CALERIE study. Aging Cell 22, e13963 (2023) doi: 10.1111/acel.13963.
Ramaker, M. E. et al. Epigenome-wide Association Study Analysis of Calorie Restriction in Humans, CALERIETM Trial Analysis. J Gerontol A Biol Sci Med Sci 77, 2395–2401 (2022) doi: 10.1093/gerona/glac168
Hastings, W. J. et al. Effect of long-term caloric restriction on telomere length in healthy adults: CALERIETM 2 trial analysis. Aging Cell 23, e14149 (2024) doi: 10.1111/acel.14149.
Bareja, A. et al. Liver-derived plasminogen mediates muscle stem cell expansion during caloric restriction through the plasminogen receptor Plg-RKT. Cell Rep 43, 113881 (2024) doi: 10.1016/j.celrep.2024.113881
Dorling, J. L. et al. Association between the FTO rs9939609 single nucleotide polymorphism and dietary adherence during a 2-year caloric restriction intervention: Exploratory analyses from CALERIETM phase 2. Exp Gerontol 155, 111555 (2021) doi: 10.1016/j.exger.2021.111555
Pribić, T. et al. A 2-year calorie restriction intervention reduces glycomic biological age biomarkers. medRxiv 2024.12.04.24318451 (2024) doi:10.1101/2024.12.04.24318451.
McGreevy, K. M., Radak, Z., Torma, F., Jokai, M., Lu, A. T., Belsky, D. W., Binder, A., Marioni, R. E., Ferrucci, L., Pośpiech, E., Branicki, W., Ossowski, A., Sitek, A., Spólnicka, M., Raffield, L. M., Reiner, A. P., Cox, S., Kobor, M., Corcoran, D. L., & Horvath, S. (2023). DNAmFitAge: biological age indicator incorporating physical fitness. Aging, 15(10), 3904–3938. https://doi.org/10.18632/aging.204538
Zhuang, B. C., Jude, M. S., Konwar, C., Yusupov, N., Ryan, C. P., Engelbrecht, H. R., Whitehead, J., Halberstam, A. A., MacIsaac, J. L., Dever, K., Tran, T. K., Korinek, K., Zimmer, Z., Lee, N. R., McDade, T. W., Kuzawa, C. W., Huffman, K. M., Belsky, D. W., Binder, E. B., Czamara, D., … Kobor, M. S. (2025). Accounting for differences between Infinium MethylationEPIC v2 and v1 in DNA methylation-based tools. Life science alliance, 8(9), e202403155. https://doi.org/10.26508/lsa.202403155
Ahn, C. et al. An optimized pipeline for high-throughput bulk RNA-Seq deconvolution illustrates the impact of obesity and weight loss on cell composition of human adipose tissue. bioRxiv 2024.09.23.614489 (2024) doi:10.1101/2024.09.23.614489.
Clark, J. P. et al. Caloric restriction reprograms adipose tissues in rhesus monkeys. bioRxiv 2025.03.03.641286 (2025) doi:10.1101/2025.03.03.641286.
Featured Publication: Waziry R¶, Ryan CP¶, Corcoran DL, Graf G, Huffman KM, Kobor MS, Kothari M, Kraus VB, Kraus WE, Lin DTS, Pieper CF, Ramaker ME, Bhapkar M, Das SK, Ferrucci L, Hastings WJ, Kebbe M, Parker DC, Racette SB, Shalev I, Schilling B, Belsky DW*. Effect of Long-Term Caloric Restriction on DNA Methylation Measures of Biological Aging in Healthy Adults: CALERIE™ Trial Analysis. Nature Aging, 3(3):248-257, 2023. PMC10148951
Featured Publication: Das, J. K. et al. Calorie restriction modulates the transcription of genes related to stress response and longevity in human muscle: The CALERIE study. Aging Cell 22, e13963 (2023) doi: 10.1111/acel.13963.
Luigi Ferrucci, PhD
Featured Publication: Ramaker ME, Corcoran DL, Apsley AT, Kobor MS, Kraus VB, Kraus WE, Lin DTS, Orenduff MC, Pieper CF, Waziry R, Huffman KM, Belsky DW*. Epigenome-wide association study analysis of calorie restriction in humans, CALERIE Trial analysis. Journals of Gerontology Series A: Biological Sciences, glac168. Published online August 15, 2022

